Produkter
Oversigt: Produkter
Markfrø
Oversigt: Markfrø
Frøblandinger
Oversigt: Frøblandinger
Afgræsning
Oversigt: Afgræsning
Frøblanding nr. 21
Frøblanding nr. 22
Frøblanding nr. 22 m. urter
Frøblanding nr. 24
Frøblanding nr. 25
Frøblanding nr. 26
Slæt/afgræsning
Oversigt: Slæt/afgræsning
Frøblanding nr. 33
Frøblanding nr. 34
Frøblanding nr. 35
Frøblanding nr. 35 m. urter
AberWolf35
Frøblanding nr. 36
Frøblanding nr. 37
Slæt
Oversigt: Slæt
Frøblanding nr. 40
Frøblanding nr. 40 m. urter
Frøblanding nr. 41
Frøblanding nr. 41 m. urter
Frøblanding nr. 42
Frøblanding nr. 43
Frøblanding nr. 45
Frøblanding nr. 45 m. urter
AberWolf45
Frøblanding nr. 47
Frøblanding nr. 48
Frøblanding nr. 49
Frøblanding nr. 50
Andre dyr
Oversigt: Andre dyr
Frøblanding nr. 52
Hesteblanding nr. 60
Hesteblanding nr. 61
Hesteblanding nr. 62
Specialblandinger
Oversigt: Specialblandinger
OptiMælk med rødkløver
OptiMælk med hvidkløver
OptiSlæt
OptiSlæt med urter
DSV Biodivers Afgræsning
SukkerToppen
Sydvestjyden
Sydvestjyden Rød
Sydvestjyden Struktur
Holland BG4
DSV Græsblanding
DSV Biogasblanding
Kødkvæg Opti
Græsarter
Oversigt: Græsarter
Alm. rajgræs
Oversigt: Alm. rajgræs
AberChoice
AberGain
AberWolf
Arnando
Betty
Ensilvio
Explosion
Karatos
Valerio
Gusto
Ital. rajgræs
Oversigt: Ital. rajgræs
Dolomit
Sendero
Westerwoldisk rajgræs
Oversigt: Westerwoldisk rajgræs
Falladino
Hybrid rajgræs
Oversigt: Hybrid rajgræs
AstonCrusader
Strandsvingel
Oversigt: Strandsvingel
Swaj
Timothe
Oversigt: Timothe
Presto
Ragnar
Hundegræs
Oversigt: Hundegræs
Roprix
Engsvingel
Oversigt: Engsvingel
Baltas
Schwetra
Engrapgræs
Oversigt: Engrapgræs
Lato
Rødsvingel
Oversigt: Rødsvingel
Rafael
Festulolium
Oversigt: Festulolium
Fedoro
Græs til efterafgrøder
Oversigt: Græs til efterafgrøder
Alm. rajgræs
Oversigt: Alm. rajgræs
Maiko
Jubilee
Rødsvingel
Oversigt: Rødsvingel
Dipper
Hundegræs
Oversigt: Hundegræs
Lidacta
Blandinger
Oversigt: Blandinger
DSV Efterafgrøde-græsblanding
DSV Majs-efter-afgrødeblanding
DSV Majs-EAG-bl. med cikorie
Bl. med bælgplanter
Oversigt: Bl. med bælgplanter
DSV N-fix Undersåning 2
DSV N-fix Undersåning 5
Kløver og lucerne
Oversigt: Kløver og lucerne
Rødkløver
Oversigt: Rødkløver
Milvus
Taifun
Hvidkløver
Oversigt: Hvidkløver
Klement
Munida
Lucerne
Oversigt: Lucerne
SW Nexus
Urteblandinger og urter
Oversigt: Urteblandinger og urter
DSV Urteblanding 3-arts
DSV Urteblanding 6-arts
Boston
Spadona
Kamin
Økologisk frø
Oversigt: Økologisk frø
Økologiske anbefalede frøblandinger
Oversigt: Økologiske anbefalede frøblandinger
Afgræsning Øko
Slæt / afgræsning Øko
Slæt Øko
Andre dyr Øko
Økologiske Specialblandinger
Oversigt: Økologiske Specialblandinger
Øko-OptiSlæt
Øko-OptiSlæt med urter
Øko-Biodivers Afgræsning
Øko-SukkerToppen
Øko-Specialbl. Ø34
Øko-Aulum, afgræsning
Øko-Aulum, slæt
Øko-Kødkvæg Opti
Øko-Heste Strukturgræs
Øko-Biogas
Øko-GræsProtein
Øko-Græsblanding til rug
Øko. græs og kløver
Oversigt: Øko. græs og kløver
Rødkløver Øko
Hvidkløver Øko
Alm.rajgræs Øko
Ital.rajgræs
Hybrid rajgræs Øko
Westerwoldisk rajgræs Øko
Rajsvingel Øko
Strandsvingel Øko
Timothe Øko
Hundegræs Øko
Engsvingel Øko
Rødsvingel Øko
Øko. Efterafgrøder
Oversigt: Øko. Efterafgrøder
Rene arter øko.
Efterafgrødeblandinger øko.
Øko. Urteblandinger og urter
Oversigt: Øko. Urteblandinger og urter
Øko-Urteblanding 3-arts
Øko-Urteblanding 6-arts
Spadona Øko.
Boston Øko.
Andre øko. arter
Oversigt: Andre øko. arter
Fodervikke Hanka Øko.
Vintervikke Rea Øko.
Boghvede Kora Øko
Honningurt Lilla Øko
Blodkløver Linkarus Øko.
Solsikke Peredovick Øko
Oliehør Lirina Øko.
Øko. Brak- & Blomsterblandinger
Oversigt: Øko. Brak- & Blomsterblandinger
Øko-Blomsterbrak uden græs
Øko-Vildt & Biblanding
Øko-Blomsterbl., flerårig
Frøblandinger til heste
Oversigt: Frøblandinger til heste
Ekstensiv Hesteblanding
Heste Strukturgræs
Heste Wrap & Hø
Hesteblanding nr. 60
Hesteblanding nr. 61
Hesteblanding nr. 62
DSV Urteblanding 3-arts
Frøblandinger til kødkvæg
Oversigt: Frøblandinger til kødkvæg
Kødkvæg Opti
Frøblanding nr. 36
Frøblanding nr. 24
Frøblanding nr. 25
DSV Urteblanding 3-arts
Roer - foder & energi
Oversigt: Roer - foder & energi
Alisha KWS
Bangor
Enercombi
Gulerod, sukkermajs, vikker og oliehør
Oversigt: Gulerod, sukkermajs, vikker og oliehør
Gulerod
Oversigt: Gulerod
Feonia
Sukkermajs
Oversigt: Sukkermajs
Sunrise
Spiseært
Oversigt: Spiseært
Maxigolt
Kålroe
Oversigt: Kålroe
Wilhelmsburger
Fodervikke
Oversigt: Fodervikke
Hanka
Vintervikke
Oversigt: Vintervikke
Ostsaat-Dr. Baumanns
Rea
Oliehør
Oversigt: Oliehør
Lirina
Efterafgrøder - såning før/efter høst
Oversigt: Efterafgrøder - såning før/efter høst
Gul sennep
Oversigt: Gul sennep
Litember
Passion
Olieræddike
Oversigt: Olieræddike
Brutus
Radetzky
Romesa
Trident
Markradise
Oversigt: Markradise
Deeptill
Honningurt
Oversigt: Honningurt
Lilla
Efterafgrødeblandinger
Oversigt: Efterafgrødeblandinger
DSV Olieræddike Sortsmix
DSV OR Sortsmix m. honningurt
DSV Efterafgrødebl. 90/10
DSV N-fix EAG-bl. 2
DSV N-fix EAG-bl. 4
TerraLife® N-Fixx 50
TerraLife® efterafgrødeblandinger
Oversigt: TerraLife® efterafgrødeblandinger
TerraLife® N-Fixx 50
Øko-TerraLife® MaizePro
Vildt og dækafgrøder
Oversigt: Vildt og dækafgrøder
Rene arter til vildtpleje
Oversigt: Rene arter til vildtpleje
Fodermarvkål
Foderraps
Gul lupin
Honningurt
Blodkløver
Kællingetand
Kommen
Boghvede
Solsikke
Stauderug
Blandinger
Oversigt: Blandinger
Vildtblanding
Hjortevildt-blanding
Fuglevildt-blanding
SukkerToppen
Insektvold-blanding
Blomster- & Biblandinger
Oversigt: Blomster- & Biblandinger
Blomster- & Bestøverbrak uden græs
Blomster- & Bestøverbrak med græs
DSV Blomsterbrak Enårig
DSV Bi- & Insektblanding
Sommerblomster
DSV Vildengblanding
Flerårig lupin, mangefarvet
Frøkvalitet
Plænegræs
Oversigt: Plænegræs
Sortiment
Oversigt: Sortiment
Boldbaner
Oversigt: Boldbaner
Winter-STRI 50/50 (62)
NY
Rajgræs Sport-Standard (139)
Renovering-Turf (79)
Sports-Etablering (65)
Stadion-Turf (106)
STRI-Rajturf (128)
Tetrapack (061)
NY
Golf
Oversigt: Golf
Enkeltsorter
Fairway-Turf (103)
Fairway-Turf eftersåning (81)
Green-Turf (82)
Rødsvingel-Turf (87)
Tee-Turf (101)
Tee-Turf eftersåning (102)
Vejrabatgræs, LAR, Diger, mm.
Oversigt: Vejrabatgræs, LAR, Diger, mm.
Blokhus-Turf (111)
Camping-Blanding (100)
Dige-Blanding (80)
Kant-Turf (108)
Vejrabat-Blanding (77)
Vejrabat-Turf (78)
Blomstereng, Vildeng, Naturgræsser
Oversigt: Blomstereng, Vildeng, Naturgræsser
Blomstermarks-blanding
DSV Blomstereng-blanding
DSV Naturgræs-blanding
DSV Vildengblanding
Margueritblanding
Svingelblanding u. udløbere
Sommerblomster
villahaver og industrigrunde
Oversigt: villahaver og industrigrunde
Villa-Turf (71)
Villa-Blanding (70)
Villa-eftersåning (064)
Villa-Øko (141)
Nøjsom Svingelblanding (130)
Dansk / Robust (92)
Luxus Turf (73)
Repair Turf (140)
Shadow Turf (85)
Pleje af græsplænen
Oversigt: Pleje af græsplænen
Eftersåning
Gødskning
Græsplænens kalender
Kalk
Klipning
Mos
Plæneluftning (vertikalskæring)
Topdressing
Rivning
Skadedyr
Ukrudt
Vanding
Anlæg af græsplænen
Hvilken blanding hvor?
Græsarternes egenskaber
Oversigt: Græsarternes egenskaber
Artsbeskrivelser
Oversigt: Artsbeskrivelser
Almindelig rajgræs
Rødsvingel
Engrapgræs
Bakkesvingel
Strandsvingel
Mosebunke
Almindelig hvene
Krybende hvene
Almindelig rapgræs
Enårig rapgræs
Aktuelt om plænegræs
Raps
Oversigt: Raps
Vinterrapssorter
Oversigt: Vinterrapssorter
Cognac
Commodore
Create
Crocodile CR
Croissant
Raps Video
Korn
Oversigt: Korn
Erfaringer med CHAMPION
Frøavl
Oversigt: Frøavl
Nyheder
Konsulenter
Avlerservice breve
Avlerservice SMS
Avlerservice videoer
Avlerforeningen DSV Frø Danmark
Oversigt: Avlerforeningen DSV Frø Danmark
Avlerforeningens formål
Valgforsamling
Bestyrelsen
Årets DSV frøavlere
Meddelelser
Dyrkningsvejledninger
Oversigt: Dyrkningsvejledninger
Konventionelt frø
Økologisk frø
Græsmiddel-oversigter
Godkendelser til mindre anvendelse
Frøavlskontrakt
Indstilling af maskiner
Oversigt: Indstilling af maskiner
Indstilling af Claas mejetærskere
Indstilling af New Holland mejetærskere
Quickguide til Spearhead Starcut
Sådan undgår du frøspild
Status på rensesvind og indstilling af mejetærskere i alm. rajgræs høst 2021
Tabel til indstilling af alle mejetærsker modeller
Høsttips til frø
Oversigt: Høsttips til frø
Kendetegn for græsfrøets modenhedsudvikling
Hvornår skal der høstes?
Vigtige krav til høstforberedelse
Typisk anvendte høstmetoder
Skårlægning
Direkte høst
Tidspunkt for skårlægning
Typiske kendetegn ved modenhed
Vandprocenter, rumvægte, gns. rensesvind
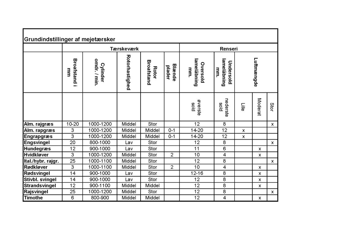
Grundindstilling af mejetærsker
Affalds-fraktioner på renselinje
Vandprocenter
Egenkontrol af vand-indhold
Firmakontrol af vand-indhold
Nødvendigt tørreri-areal
Luftmængde
Blæser-ydelse
Ligevægtstabeller
Tab/gevinst ved lavere/højere spireevne
Eksempler på dryssespild
Oversigt: Eksempler på dryssespild
Alm. rajgraes plaenetype
Alm. rajgraes diploid fodertype
Alm. rajgraes tetraploid fodertype
Engrapgraes
Hundegraes
Roedsvingel
Strandsvingel
Høst-udstyr kan bestilles
Afbrænding af halm
Ukrudtsarter, der giver problemer ved rensning af græs- og kløverfrø
Analysenormer for certificering
Billeder
Oversigt: Billeder
Almindelig rajgraes
Bakkesvingel
Engrapgraes
Hundegraes
Hvidklover
Maskiner
Mejetaerskere
Økologi
Olieraedikke
Rodsvingel
Skadedyr
Strandsvingel
Sygdomme
Torrerier
Timothe
Nyheder
Brochurer
Om DSV Frø Danmark A/S
Oversigt: Om DSV Frø Danmark A/S
Kontakt
Profil
Organisation
Oversigt: Organisation
Administration
Bestyrelse
Direktion
Frøavlskonsulenter
Logistik / Produktion
Marketing
Salg - Danmark
Salg - Skandinavien
Slagelse afdeling
Ledige stilinger
Adresser
Salgsbetingelser
Arrangementer
Videoer
Netbutik
DSV International
Søg
Hjem
Frøavl
Høsttips til frø
Grundindstilling af mejetærsker
tilbage
tilbage til Høsttips til frø
Grundindstilling af mejetærsker
Ring til den lokale forhandler eller frøavlskonsulent.